Чтение онлайн

ЖАНРЫ

Фейнмановские лекции по физике. 7. Физика сплошных сред
Шрифт:

Другими словами, скачок e0Ехпри переходе от области 1 к об­ласти 2 должен быть равен скачку —Рх.

Уравнение (33.25) можно переписать в виде

e0Ex2x2=e0Ex1x1; (33.26)

оно гласит, что величина (e0Exx) имеет равные значения как в области 2, так и в области 1. В таких случаях люди гово­рят, что величина (e0Еxх)

непрерывна на границе. Таким образом, мы получили одно из наших граничных условий.

Хотя в качестве иллюстрации мы взяли случай, когда зна­чение Р1 равно нулю, ибо в области 1 у нас был вакуум, ясно, что те же аргументы приложимы для любого материала в этих двух областях, так что уравнение (33.26) верно в общем случае. Давайте перейдем к остальным уравнениям Максвелла и по­смотрим, что скажет нам каждое из них. Следующим мы возьмем уравнение (33.22а). У него нет производной по х, так что оно ничего нам не говорит. (Вспомните, что на границе сами поля не особенно велики. Только их производные по х могут стать столь огромными, что будут доминировать в уравнении.) Взгля­нем теперь на уравнение (33.22.б). Смотрите! Именно здесь у нас есть производная по х! С левой стороны имеется дEz/дx. Пред­положим, что эта производная громадна. Но минуточку терпе­ния! С правой стороны нет ничего, способного потягаться с ней, поэтому Еz не может иметь скачка при переходе из области 1 к области 2. [Если бы это было так, то с левой стороны уравне­ния (33.22а) мы бы получили скачок, а с правой — его не было бы, и уравнение оказалось бы неверным.] Итак, мы получили новое условие:

Eя2=Eя1. (33.27)

После тех же самых рассуждений уравнение (33.22в) дает

Ey2=Ey1. (33.28)

Последний результат в точности совпадает с полученным с по­мощью контурного интеграла условием (33.20).

Перейдем к уравнению (33.23). Единственное, что может дать пик,— это дВх/дх. Но справа опять нет ничего, способного противостоять ему; в результате мы заключаем, что

Bx2=Bx1. (33.29)

И, наконец, последнее из уравнений Максвелла! Уравнение (33.24а) ничего не дает, ибо там нет производных по х. В урав­нении (33.236) — одна производная: — с2(дВz/дх), но ей снова нечего противопоставить с другой стороны равенства, поэтому мы получаем

Bz1=Bz2. (33.30)

Совершенно аналогично второе уравнение, которое дает

By1=By2. (33.31)

Итак, последние три условия говорят нам, что В21.

Хочу

здесь подчеркнуть, что такой результат получен только потому, что по обеим сторонам границы мы взяли немагнитный материал, вернее, потому, что магнитным эффектом этих мате­риалов мы можем пренебречь. Обычно это вполне допустимо для большинства материалов, за исключением ферромагнетиков. (Магнитные свойства материалов мы будем рассматривать в по­следующих главах.).

Наша программа привела нас к шести соотношениям между полями в областях 1 и 2. Все они выписаны в табл. 33.1. Их можно использовать для согласования волн в двух областях.

Таблица 33.1 · граничные условия на поверхности ДИЭЛЕКТРИКА

(Поверхность расположена в плоскости yz.)

Однако я хочу отметить, что идея, которую мы только что использовали, будет работать в любой физической ситуации, где у вас есть дифференциальные уравнения и требуется найти решение в области, пересекаемой резкой границей, по обе стороны которой некоторые из физических свойств различны. Для наших теперешних целей было бы легче получить те же самые уравнения с помощью рассуждений о потоках и циркуляциях на границе. (Проверьте, можно ли подобным путем по­лучить те же самые результаты.) Однако теперь вы знаете метод, который будет хорош, даже когда вы попали в затруднительное положение и не видите простых физических соображений от­носительно того, что происходит на границе. Вы можете просто воспользоваться дифференциальными уравнениями.

§ 4. Отраженная и преломленная волны

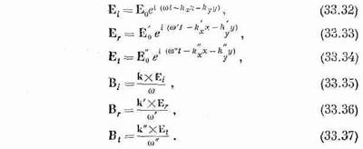
Теперь мы готовы применить наши граничные условия к вол­нам, перечисленным в § 2, где мы получили:

Нами получены еще кое-какие сведения: вектор Е перпендику­лярен для каждой волны вектору распространения k.

Полученный результат будет зависеть от направления век­тора Е («поляризации») в падающей волне. Анализ сильно упро­стится, если мы рассмотрим отдельно случай, когда вектор Е параллелен «плоскости падения» (т. е. плоскости ху), и случай, когда он перпендикулярен к ней. Волна с любой другой поляри­зацией будет просто линейной комбинацией этих волн. Другими словами, отраженные и преломленные интенсивности для различных поляризаций будут разными и легче всего отобрать два простейших случая и отдельно рассмотреть их.

Я подробно проанализирую случай падающей волны, пер­пендикулярной к плоскости падения, а потом просто опишу вам, что получается в других случаях. Я немного жульничаю, рас­сматривая простейший пример, однако в обоих случаях прин­цип один и тот же. Итак, мы считаем, что вектор Еi имеет только z-компоненту, а поскольку все векторы Е смотрят в одном и том же направлении, векторный значок можно опустить.

Оба материала изотропны, поэтому вынужденные колеба­ния зарядов в материале будут происходить в направлении оси z и у полей Е в преломленной и отраженной волнах тоже будет только одна z-компонента. Таким образом, для всех волн Ех и Еy , Рхи Рyравны нулю. Направления векторов Е и В в этих волнах показаны на фиг. 33.6.

Фиг. 33.6. Поляризации отражен­ной и преломленной волн, когда поле Е в падающей волне перпендикулярно к плоскости падения.

(Здесь мы изменили нашему пер­воначальному намерению все получить из уравнений. Этот результат также можно было бы получить из граничных усло­вий, однако, используя физические аргументы, мы избежали больших алгебраических выкладок. Когда у вас будет свобод­ное время, посмотрите, можно ли его действительно вывести из уравнений. Он, разумеется, согласуется с уравнениями; просто мы не доказали, что отсутствуют другие возможности.)

Теперь наши граничные условия [уравнения (33.26) — (33.31)] должны дать соотношения между компонентами Е и В в областях 1 и 2. В области 2 у нас есть только одна преломлен­ная волна, а вот в области 1 — их две. Какую же из них нам взять? Поля в области 1 будут, разумеется, суперпозицией полей падающей и отраженной волн. (Поскольку каждое удовлетворяет уравнениям Максвелла, то им удовлетворяет и сумма.) Поэтому, когда мы используем граничные условия, нужно помнить, что

Поделиться с друзьями: