Чтение онлайн

ЖАНРЫ

Правила устройства электроустановок в вопросах и ответах. Пособие для изучения и подготовки к проверке знаний. Разделы 1, 6, 7
Шрифт:

W– среднегодовая повторяемость ветров рассматриваемого румба, %;

W0 – повторяемость ветров одного румба при круговой розе ветров, %.

Значения S/S0 должны ограничиваться пределами 0,5 <= S/S0 <= 2.

Вопрос 381. Во сколько раз следует увеличить расстояния от береговой линии, приведенные в табл. 1.9.16 настоящих Правил, в районах, подверженных ветрам со скоростью более 30 м/с со стороны моря (периодичностью не реже одного раза в 10 лет)?

Ответ. Следует

увеличить в 3 раза.

Коэффициенты использования основных типов изоляторов и изоляционных конструкций (стеклянных и фарфоровых)

Вопрос 382. Как следует определять коэффициенты использования k изоляционных конструкций, составленных из однотипных изоляторов?

Ответ. Следует определять как

k = Kи Kk,

где Kи – коэффициент использования изолятора;

Kk– коэффициент использования составной конструкции с параллельными или последовательно-параллельными ветвями.

Вопрос 383. Как следует определять коэффициенты использования подвесных тарельчатых изоляторов?

Ответ. Эти данные табулированы в табл. 1.9.20 и 1.9.21 настоящих Правил.

Вопрос 384. Чему должны приниматься коэффициенты использования штыревых изоляторов (линейных, опорных) со слабо развитой поверхностью?

Ответ. Должны приниматься равными 1,0; с сильно развитой поверхностью – 1,1.

Вопрос 385. Как следует определять коэффициенты использования внешней изоляции электрооборудования наружной установки, выполненной в виде одиночных изоляционных конструкции, в том числе опорных изоляторов наружной установки до 110 кВ, а также подвесных изоляторов стержневого типа на 110 кВ?

Ответ. Следует определять по табл. 1.9.22 настоящих Правил в зависимости от отношения длины пути утечки изолятора или изоляционной конструкции к длине их изоляционной части.

Вопрос 386. Чему равны коэффициенты использования одноцепных гирлянд и одиночных опорных колонок, составленных из однотипных изоляторов?

Ответ. Их следует принимать равными 1,0.

Вопрос 387. Чему равны коэффициенты использования -образных и V-образных гирлянд с одноцепными ветвями?

Ответ. Их следует принимать равными 1,0.

Вопрос 388. Чему равны коэффициенты использования составных конструкций с последовательно-параллельными ветвями, составленными из изоляторов одного типа (гирлянд типа Y или , опорных колонок с различным числом параллельных ветвей по высоте, а также подстанционных аппаратов с растяжками)?

Ответ. Их следует принимать равными 1,1.

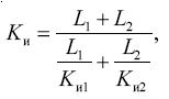
Вопрос 389. Как должны определяться коэффициенты использования К одноцепных гирлянд и одиночных опорных колонок, составленных из разнотипных изоляторов с коэффициентами использования Ки1 и Ки2?

Ответ. Должны определяться по формуле:

где L1 н L2

длина пути утечки участков конструкции из изоляторов соответствующего типа. Аналогичным образов должна определяться величина Ки для конструкций указанного вида при числе разных типов изоляторов, большем двух.

6. ЭЛЕКТРИЧЕСКОЕ ОСВЕЩЕНИЕ

6.1. Общая часть

Область применения. Определения

Вопрос 390. На какие установки электрического освещения распространяется настоящий раздел ПУЭ?

Ответ. Распространяется на установки электрического освещения зданий, помещений и сооружений наружного освещения городов, поселков и сельских населенных пунктов, территорий предприятий и учреждений, на установки оздоровительного ультрафиолетового облучения длительного действия, установки световой рекламы, световые знаки и иллюминационные установки.

Вопрос 391. Какие термины и определения установлены настоящими Правилами к сетям и объектам электрического освещения?

Ответ. Установлены термины и определения, приведенные в табл. 6.1.1.

Таблица 6.1.1

Термины и определения установок электрического освещения

Окончание табл. 6.1.1

Общие требования

Вопрос 392. Какие лампы следует применять для электрического освещения?

Ответ. Следует применять, как правило, разрядные лампы низкого давления (например, люминесцентные), лампы высокого давления (например, металлогалогенные типа ДРИ, ДРИЗ, натриевые типа ДНаТ, ксеноновые типа ДКсТ, ДКсТЛ, ртутно-вольфрамовые, ртутные типа ДРЛ). Допускается использование и ламп накаливания.

Вопрос 393. При каких условиях допускается применение для внутреннего освещения ксеноновых ламп типа ДКсТ (кроме ДКсТЛ)?

Ответ. Допускается с разрешения Госсанинспекции и при условии, что горизонтальная освещенность на уровнях, где возможно длительное пребывание людей, не превышает 150 лк, а места нахождения крановщиков экранированы от прямого света ламп.

Вопрос 394. Какие условия должны соблюдаться при применении люминесцентных ламп в осветительных установках?

Ответ. Должны соблюдаться следующие условия для обычного исполнения светильников:

температура окружающей среды не должна быть ниже плюс 5 °C;

напряжение у осветительных приборов должно быть не менее 90 % номинального.

Вопрос 395. Какие светильники рекомендуются для аварийного освещения?

Ответ. Рекомендуется применять светильники с лампами накаливания или люминесцентными. Разрядные лампы высокого давления допускается использовать при обеспечении их мгновенного зажигания и перезажигания.

Вопрос 396. Какое напряжение должно применяться для питания осветительных приборов общего внутреннего и наружного освещения?

Поделиться с друзьями: