Чтение онлайн

ЖАНРЫ

Общая теория статистики: конспект лекции
Шрифт:

Однако для того чтобы средняя отражала наиболее типичное значение признака, она должна определяться не для любых совокупностей, а только для совокупностей, состоящих из качественно однородных единиц. Это требование является основным условием научно обоснованного применения средних величин и предполагает тесную связь метода средних и метода группировок в анализе социально-экономических явлений.

Следовательно, средняя величина – это обобщающий показатель, характеризующий типичный уровень варьирующего признака в расчете на единицу однородной совокупности в конкретных условиях места и времени.

Определяя таким образом сущность средних величин, необходимо подчеркнуть, что правильное исчисление любой средней предполагает выполнение следующих требований:

1) качественная однородность

совокупности, по которой исчислена средняя. Исчисление средней для разнокачественных (разнотипных) явлений противоречит самой сущности средней, так как развитие таких явлений подчиняется разным, а не общим закономерностям и причинам. Это означает, что исчисление средних величин должно основываться на методе группировок, обеспечивающем выделение однородных, однотипных явлений;

2) исключение влияния на исчисление средней величины случайных, сугубо индивидуальных причин и факторов. Это достигается в том случае, когда исчисление средней основывается на достаточно массовом материале, в котором проявляется действие закона больших чисел, и все случайности взаимно погашаются;

3) при вычислении средней величины важно установить цель ее расчета и так называемый определяющий показатель (свойство), на который она должна быть ориентирована. Определяющий показатель может выступать в виде суммы значений осредняемого признака, суммы его обратных значений, произведения его значений и т. п. Связь между определяющим показателем и средней выражается в следующем: если все значения осредняемого признака заменить их средним значением, то сумма или произведение в этом случае не изменят определяющего показателя. На основе этой связи определяющего показателя со средней величиной строят исходное количественное отношение для непосредственного расчета средней величины. Способность средних величин сохранять свойства статистических совокупностей называют определяющим свойством.

Средняя, рассчитанная по совокупности в целом, называется общей средней, средние, исчисленные для каждой группы, – групповыми средними. Общая средняя отражает общие черты изучаемого явления, групповая средняя дает характеристику размера явления, складывающуюся в конкретных условиях данной группы.

Способы расчета могут быть разные, и в связи с этим в статистике различают несколько видов средней величины, основными из которых являются средняя арифметическая, средняя гармоническая и средняя геометрическая.

В экономическом анализе использование средних величин является действенным инструментом для оценки результатов научно-технического прогресса, социальных мероприятий, изыскания скрытых и неиспользуемых резервов развития экономики.

В то же время следует помнить о том, что чрезмерное увлечение средними показателями может привести к необъективным выводам при проведении экономико-статистического анализа. Это связано с тем, что средние величины, будучи обобщающими показателями, погашают, игнорируют те различия в количественных признаках отдельных единиц совокупности, которые реально существуют и могут представлять самостоятельный интерес.

2. Виды средних величин

В статистике используют различные виды средних величин, которые делятся на два больших класса:

1) степенные средние (средняя гармоническая, средняя геометрическая, средняя арифметическая, средняя квадратиче-ская, средняя кубическая);

2) структурные средние (мода, медиана). Для вычисления степенных средних необходимо использовать все имеющиеся значения признака. Мода и медиана определяются лишь структурой распределения. Поэтому их именуют структурными, позиционными средними. Медиану и моду часто используют как среднюю характеристику в тех совокупностях, где расчет средней степенной невозможен или нецелесообразен.

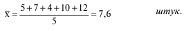
Самый распространенный вид средней – средняя арифметическая. Средней арифметической называется такое значение признака, которое имела бы каждая единица совокупности, если бы общий итог всех значений признака был распределен равномерно между всеми единицами совокупности. В общем случае ее вычисление сводится к суммированию всех значений варьирующего признака и делению полученной суммы на общее количество единиц совокупности. Например, пять рабочих выполняли заказ на изготовление деталей, при

этом первый изготовил 5 деталей, второй – 7, третий – 4, четвертый – 10, пятый – 12. Поскольку в исходных данных значение каждого варианта встречалось только один раз для определения средней выработки одного рабочего, следует применить формулу простой средней арифметической:

т. е. в нашем примере средняя выработка одного рабочего

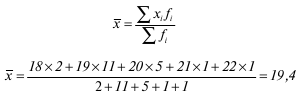
Наряду с простой средней арифметической изучают среднюю арифметическую взвешенную. Например, рассчитаем средний возраст студентов в группе из 20 человек, возраст которых варьируется от 18 до 22 лет, где xi – варианты осредняемого признака, f – частота, которая показывает, сколько раз встречается i-е значение в совокупности.

Применяя формулу средней арифметической взвешенной, получаем:

Для выбора средней арифметической взвешенной существует определенное правило: если имеется ряд данных по двум взаимосвязанным показателям, для одного из которых надо вычислить среднюю величину, и при этом известны численные значения знаменателя ее логической формулы, а значения числителя не известны, но могут быть найдены как произведение этих показателей, то средняя величина должна высчитываться по формуле средней арифметической взвешенной.

В некоторых случаях характер исходных статистических данных таков, что расчет средней арифметической теряет смысла и единственным обобщающим показателем может служить только другой вид средней – средняя гармоническая. В настоящее время вычислительные свойства средней арифметической потеряли свою актуальность при расчете обобщающих статистических показателей в связи с повсеместным внедрением электронно-вычислительной техники. Большое практическое значение приобрела средняя гармоническая величина, которая тоже бывает простой и взвешенной. Если известны численные значения числителя логической формулы, а значения знаменателя не известны, то средняя величина вычисляется по формуле средней гармонической взвешенной.

Если при использовании средней гармонической веса всех вариантов (f;) равны, то вместо взвешенной можно использовать простую (невзвешенную) среднюю гармоническую:

где х – отдельные варианты;

n – число вариантов осредняемого признака.

Например простую среднюю гармоническую можно применить к скорости, если равны отрезки пути, пройденные с разной скоростью.

Любая средняя величины должна вычисляться так, чтобы при замене ею каждого варианта осредняемого признака не изменялась величина некоторого итогового, обобщающего показателя, который связан с осредняемым показателем. Так, при замене фактических скоростей на отдельных отрезках пути их средней величиной средней скоростью) не должно измениться общее расстояние.

Формула средней определяется характером (механизмом) взаимосвязи этого итогового показателя с осредняемым. Поэтому итоговый показатель, величина которого не должна изменяться при замене вариантов их средней величиной, называется определяющим показателем. Для вывода формулы средней нужно составить и решить уравнение, используя взаимосвязь осредняемого показателя с определяющим. Это уравнение строится путем замены вариантов осредняемого признака (показателя) их средней величиной.

Кроме средней арифметической и средней гармонической, в статистике используются и другие виды (формы) средней. Все они являются частными случаями степенной средней. Если рассчитывать все виды степенных средних величин для одних и тех же данных, то значения их окажутся одинаковыми, здесь действует правило мажорантности средних. С увеличением показателя степени средних увеличивается и сама средняя величина.

Поделиться с друзьями: