Чтение онлайн

ЖАНРЫ

Общая теория статистики: конспект лекции
Шрифт:

1) обеспечить представительство в выборке соответствующих типических групп генеральной совокупности по интересующим исследователя признакам;

2) увеличить точность результатов выборочного обследования.

При типической выборке до начала ее формирования генеральная совокупность единиц разбивается на типические группы. При этом очень важным моментом является правильный выбор группировочного признака. Выделенные типические группы могут содержать одинаковое или различное число единиц отбора. В первом случае выборочная совокупность формируется с одинаковой долей отбора из каждой группы, во втором – с долей, пропорциональной ее доле в генеральной совокупности. Если выборка формируется с равной долей отбора, по существу, она равносильна ряду собственно-случайных выборок из меньших генеральных совокупностей, каждая из которых и есть типическая группа. Отбор из каждой группы

осуществляется в случайном (повторном или бесповторном) либо механическом порядке. При типической выборке, (как с равной, так и неравной долей отбора), удается устранить влияние межгрупповой вариации изучаемого признака на точность ее результатов, так как обеспечивается обязательное представительство в выборочной совокупности каждой из типических групп. Стандартная ошибка выборки будет зависеть не от величины общей дисперсии – 2, а от величины средней из групповых дисперсий i2.

Поскольку средняя из групповых дисперсий всегда меньше общей дисперсии, постольку при прочих равных условиях стандартная ошибка типической выборки будет меньше стандартной ошибки собственно-случайной выборки.

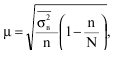
При определении стандартных ошибок типической выборки применяются следующие формулы:

1) при повторном способе отбора:

2) при бесповторном способе отбора:

где в2– средняя из групповых дисперсий в выборочной совокупности.

Серийная (гнездовая) выборка – это такой вид формирования выборочной совокупности, когда в случайном порядке отбираются не единицы, подлежащие обследованию, а группы единиц (серии, гнезда). Внутри отобранных серий (гнезд) обследованию подвергаются все единицы. Серийную выборку практически организовать и провести легче, чем отбор отдельных единиц. Однако при этом виде выборки, во-первых, не обеспечивается представительство каждой из серий, и, во-вторых, не устраняется влияние межсерийной вариации изучаемого признака на результаты обследования. В том случае, когда эта вариация значительна, она приведет к увеличению случайной ошибки репрезентативности. При выборе вида выборки исследователю необходимо учитывать это обстоятельство.

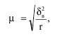
Стандартная ошибка серийной выборки определяется по формулам:

1) при повторном способе отбора:

где в2– межсерийная дисперсия выборочной совокупности;

г – число отобранных серий;

2) при бесповторном способе отбора:

где R – число серий в генеральной совокупности.

В практике те или иные способы и виды выборок применяются в зависимости от цели и задач выборочных обследований, а также возможностей их организации и проведения. Чаще всего применяется комбинирование способов отбора и видов выборки. Такие выборки получили название комбинированных. Комбинирование возможно в разных сочетаниях: механической и серийной выборки, типической и механической, серийной и собственно-случайной и т. д. К комбинированной выборке прибегают с целью обеспечить наибольшую репрезентативность с наименьшими трудовыми и денежными затратами на организацию и проведение обследования.

При комбинированной выборке величина стандартной ошибки выборки состоит из ошибок на каждой ее ступени и может быть определена как корень квадратный из суммы квадратов ошибок соответствующих выборок. Так, если при комбинированной выборке в сочетании использовались механическая и типическая выборки, то стандартную ошибку можно определить по формуле:

где 1 и 2

стандартные ошибки соответственно механической и типической выборок.

Особенность многоступенчатой выборки состоит в том, что выборочная совокупность формируется постепенно, по ступеням отбора. На первой ступени с помощью заранее определенного способа и вида отбора отбираются единицы первой ступени. На второй ступени из каждой единицы первой ступени, попавшей в выборку, отбираются единицы второй ступени и т. д. Число ступеней может быть и больше двух. На последней ступени формируется выборочная совокупность, единицы которой подлежат обследованию. Так, например, для выборочного обследования бюджетов домашних хозяйств на первой ступени отбираются территориальные субъекты страны, на второй – районы в отобранных регионах, на третьей в каждом муниципальном образовании отбираются предприятия или организации и, наконец, на четвертой ступени в отобранных предприятиях отбираются семьи.

Таким образом, выборочная совокупность формируется на последней ступени. Многоступенчатая выборка более гибкая, чем другие виды, хотя в общем она дает менее точные результаты, чем выборка того же объема, но сформированная в одну ступень. Однако при этом она имеет одно важное преимущество, которое заключается в том, что основу выборки при многоступенчатом отборе нужно строить на каждой из ступеней только для тех единиц, которые попали в выборку, а это очень важно, так как нередко готовой основы выборки нет.

Стандартную ошибку выборки при многоступенчатом отборе при группах разных объемов определяют по формуле:

где 1, 2, 3,… – стандартные ошибки на разных ступенях;

n1, n2, n3,… – численность выборок на соответствующих ступенях отбора.

В том случае, если группы неодинаковы по объему, теоретически этой формулой пользоваться нельзя. Но если общая доля отбора на всех ступенях постоянна, то практически расчет по этой формуле не приведет к искажению величины ошибки.

Сущность многофазной выборки состоит в том, что на основе первоначально сформированной выборочной совокупности образуют подвыборку, из этой подвыборки – следующую подвы-борку и т. д. Первоначальная выборочная совокупность представляет собой первую фазу, подвыборка из нее – вторую и т. д. Многофазную выборку целесообразно применять в нескольких случаях:

1) если для изучения различных признаков требуется неодинаковый объем выборки;

2) если колеблемость изучаемых признаков неодинакова и требуемая точность различна;

3) если в отношении всех единиц первоначальной выборочной совокупности (первая фаза) необходимо собрать одни – менее подробные сведения, а в отношении единиц каждой последующей фазы другие – более подробные. Одним из несомненных достоинств многофазной выборки является то обстоятельство, что сведениями, полученными на первой фазе, можно пользоваться как дополнительной информацией на последующих фазах, информацией второй фазы – как дополнительной информацией на следующих фазах и т. д. Такое использование сведений повышает точность результатов выборочного обследования.

При организации многофазной выборки можно применять сочетание различных способов и видов отбора (типическую выборку с механической и т. д.). Многофазный отбор можно сочетать с многоступенчатым. На каждой ступени выборка может быть многофазной.

Стандартная ошибка при многофазной выборке рассчитывается на каждой фазе в отдельности в соответствии с формулами того способа отбора и вида выборки, при помощи которых формировалась ее выборочная совокупность.

Взаимопроникающие выборки – это две или более независимые выборки из одной и той же генеральной совокупности, образованные одним и тем же способом и видом. К взаимопроникающим выборкам целесообразно прибегать, если необходимо за короткий срок получить предварительные итоги выборочных обследований. Взаимопроникающие выборки эффективны для оценки результатов обследования. Если в независимых выборках результаты одинаковы, то это свидетельствует о надежности данных выборочного обследования. Взаимопроникающие выборки иногда можно применять для проверки работы различных исследователей, поручив каждому из них провести обследование разных выборок.

Поделиться с друзьями: