Чтение онлайн

ЖАНРЫ

Общая теория статистики: конспект лекции
Шрифт:

Недостаточность средней величины для исчерпывающей характеристики совокупности заставляет дополнять средние величины показателями, позволяющими оценить типичность этих средних путем измерения колеблемости (вариации) изучаемого признака. Использование этих показателей вариации дает возможность сделать статистический анализ более полным и содержательным и тем самым глубже понять сущность изучаемых общественных явлений.

Самыми простыми признаками вариации являются минимум и максимум – это наименьшее и наибольшее значение признака в совокупности. Число повторений отдельных вариантов значений признаков называют частотой повторения.

Частость – относительный показатель частоты, который может быть выражен в долях единицы или процентах, позволяет

сопоставлять вариационные ряды с различным числом наблюдений. Формально имеем:

где fi – число вариантов.

Для измерения вариации признака применяются различные абсолютные и относительные показатели. К абсолютным показателям вариации относятся среднее линейное отклонение, размах вариации, дисперсия, среднее квадратическое отклонение.

Размах вариации (R) представляет собой разность между максимальным и минимальным значениями признака в изучаемой совокупности, формально имеем:

R = Xmax– Xmin

Этот показатель дает лишь самое общее представление о колеблемости изучаемого признака, ибо показывает разницу только между предельными значениями вариантов. Он совершенно не связан с частотами в вариационном ряду, т. е. с характером распределения, а его зависимость только от крайних значений признака может придавать ему неустойчивый, случайный характер. Размах вариации не дает никакой информации об особенностях исследуемых совокупностей и не позволяет оценить степень типичности полученных средних. Область применения этого показателя ограничена достаточно однородными совокупностями. Точнее характеризует вариацию признака показатель, основанный на учете изменчивости всех значений признака.

Для характеристики вариации признака нужно уметь обобщить отклонения всех этих значений от какой-либо типичной для изучаемой совокупности величины. Такие показатели вариации, как среднее линейное отклонение, дисперсия и среднее квадра-тическое отклонение, основаны на рассмотрении отклонений значений признака отдельных единиц совокупности от средней арифметической.

Среднее линейное отклонение представляет собой среднюю арифметическую из абсолютных значений отклонений отдельных вариантов от их средней арифметической:

где d– среднее линейное отклонение;

|x - x| – абсолютное значение (модуль) отклонения варианта от средней арифметической;

f – частота.

Первая формула применяется, если каждый из вариантов встречается в совокупности только один раз, а вторая – в рядах с неравными частотами.

Существует и другой способ усреднения отклонений вариантов от средней арифметической. Этот очень распространенный в статистике способ сводится к расчету квадратов отклонений вариантов от средней с их последующим усреднением. При этом мы получаем новый показатель вариации – дисперсию.

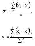
Дисперсия (2) – средняя из квадратов отклонений вариантов значений признака от их средней величины:

Вторая формула применяется при наличии у вариантов своих весов (или частот вариационного ряда).

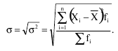
В экономико-статистическом анализе вариацию признака принято оценивать чаще всего с помощью среднего квадратического отклонения. Среднее квадратическое отклонение представляет собой корень квадратный из дисперсии:

Среднее

линейное и среднее квадратическое отклонения показывают, на сколько в среднем колеблется величина признака у единиц исследуемой совокупности, и выражаются в тех же единицах измерения, что и варианты.

В статистической практике часто возникает необходимость сравнения вариации различных признаков. Например, большой интерес представляет сравнение вариаций возраста персонала и его квалификации, стажа работы и размера заработной платы и т. д. Для подобных сопоставлений показатели абсолютной колеблемости признаков (среднее линейное и среднее квадртиче-ское отклонение), конечно, непригодны. Нельзя, в самом деле, сравнивать колеблемость стажа работы, выражаемую в годах, с колеблемостью заработной платы, выражаемой в рублях и копейках.

При сравнении изменчивости различных признаков в совокупности удобно применять относительные показатели вариации. Эти показатели вычисляются как отношение абсолютных показателей к средней арифметической (или медиане). Используя в качестве абсолютного показателя вариации размах вариации, среднее линейное отклонение, среднее квадратическое отклонение, получают относительные показатели колеблемости:

Коэффициент вариации – наиболее часто применяемый показатель относительной колеблемости, характеризующий однородность совокупности. Совокупность считается однородной, если коэффициент вариации не превышает 33% для распределений, близких к нормальному.

ЛЕКЦИЯ №6. Выборочное наблюдение

1. Общее понятие о выборочном наблюдении

Статистическое наблюдение можно организовать как сплошное и несплошное. Сплошное предусматривает обследование всех единиц изучаемой совокупности явления, несплошное – лишь ее части. К несплошному относится и выборочное наблюдение.

Выборочное наблюдение является одним из наиболее широко применяемых видов несплошного наблюдения. В основе этого наблюдения лежит идея о том, что отобранная в случайном порядке некоторая часть единиц может представлять всю изучаемую совокупность явления по интересующим исследователя признакам. Целью выборочного наблюдения является получение информации прежде всего для определения сводных обобщающих характеристик всей изучаемой совокупности. По своей цели выборочное наблюдение совпадает с одной из задач сплошного наблюдения, и поэтому речь может идти о том, какое из двух видов наблюдения – сплошное или выборочное – целесообразнее провести.

При решении этого вопроса необходимо исходить из следующих основных требований, предъявляемых к статистическому наблюдению:

1) информация должна быть достоверной, т. е. максимально соответствовать реальной действительности;

2) сведения должны быть достаточно полными для решения задач исследования;

3) отбор информации должен быть проведен в максимально сжатые сроки для обеспечения ее использования в оперативных целях;

4) денежные и трудовые затраты на организацию и проведение должны быть минимальными.

При выборочном наблюдении эти требования обеспечиваются в большей мере, чем при сплошном. Преимущества выборочного наблюдения по сравнению со сплошным в полной мере можно оценить, если оно организовано и проведено в строгом соответствии с научными принципами теории выборочного метода. Таким принципом является обеспечение случайности отбора единиц и достаточного их числа. Соблюдение принципа позволяет получить такую совокупность единиц, которая по интересующим исследователя признакам представляет всю изучаемую совокупность, т. е. является репрезентативной (представительной).

Поделиться с друзьями: