Чтение онлайн

ЖАНРЫ

Общая теория статистики: конспект лекции
Шрифт:

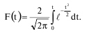
В математической статистике употребляют коэффициент доверия t, и значения функции F(t) табулированы при разных его значениях, при этом получают соответствующие уровни доверительной вероятности.

Коэффициент доверия позволяет вычислить предельную ошибку выборки, вычисляемую по формуле:

Из формулы вытекает, что предельная ошибка выборки равна -кратному числу средних ошибок выборки.

Таким образом, величина предельной ошибки выборки может быть установлена с определенной вероятностью.

Выборочное наблюдение дает возможность определить среднюю арифметическую выборочной совокупности x и величину

предельной ошибки этой средней x, которая показывает с определенной вероятностью), насколько выборочная может отличаться от генеральной средней в большую или меньшую сторону. Тогда величина генеральной средней будет представлена интервальной оценкой, для которой нижняя граница будет равна

Интервал, в который с данной степенью вероятности будет заключена неизвестная величина оцениваемого параметра, называют доверительным, а вероятность Р – доверительной вероятностью. Чаще всего доверительную вероятность принимают равной 0,95 или 0,99, тогда коэффициент доверия t равен соответственно 1,96 и 2,58. Это означает, что доверительный интервал с заданной вероятностью заключает в себе генеральную среднюю.

Наряду с абсолютной величиной предельной ошибки выборки рассчитывается и относительная ошибка выборки, которая определяется как процентное отношение предельной ошибки выборки к соответствующей характеристике выборочной совокупности:

Чем больше величина предельной ошибки выборки, тем больше величина доверительного интервала и тем, следовательно, ниже точность оценки. Средняя (стандартная) ошибка выборки зависит от объема выборки и степени вариации признака в генеральной совокупности.

3. Определение необходимой численности выборки

Одним из научных принципов в теории выборочного метода является обеспечение достаточного числа отобранных единиц. Теоретически необходимость соблюдения этого принципа представлена в доказательствах предельных теорем теории вероятностей, которые позволяют установить, какой объем единиц следует выбрать из генеральной совокупности, чтобы он был достаточным и обеспечивал репрезентативность выборки.

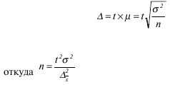
Уменьшение стандартной ошибки выборки (а следовательно, увеличение точности оценки) всегда связано с увеличением объема выборки. Поэтому уже на стадии организации выборочного наблюдения приходится решать вопрос о том, каков должен быть объем выборочной совокупности, чтобы была обеспечена требуемая точность результатов наблюдений. Расчет необходимого объема выборки строится с помощью формул, выведенных из формул предельных ошибок выборки , соответствующих тому или иному виду и способу отбора. Так, для случайного повторного объема выборки (n) имеем:

Смысл этой формулы в том, что при случайном повторном отборе необходимой численности объем выборки прямо пропорционален квадрату коэффициента доверия (t2) и дисперсии вариационного признака (2) и обратно пропорционален квадрату предельной ошибки выборки (2). В частности, с увеличением предельной ошибки в 2 раза необходимая численность выборки может быть уменьшена в 4 раза. Из трех параметров два (t и ) задаются исследователем. При этом исследователь исходя из цели и задач выборочного обследования должен решить вопрос, в каком количественном сочетании лучше включить эти параметры для обеспечения оптимального варианта. В одном случае его может устраивать в большей мере надежность полученных результатов (t), нежели мера точности , в другом – наоборот. Сложнее решить вопрос в отношении величины предельной ошибки выборки, так как этим показателем исследователь на стадии проектировки выборочного наблюдения не располагает. Поэтому в практике принято задавать величину предельной ошибки выборки, как правило, в пределах до 10% предполагаемого среднего уровня признака. К установлению предполагаемого среднего уровня можно подходить по-разному: использовать данные подобных ранее проведенных обследований или же воспользоваться данными основы выборки и произвести небольшую пробную выборку.

Вопрос об определении необходимой численности выборки усложняется, если выборочное обследование предполагает изучение нескольких признаков единиц отбора. В этом случае средние уровни каждого из признаков и их вариация, как правило, различны, и поэтому решить вопрос о том, дисперсии какого из признаков отдать предпочтение, возможно лишь с учетом цели и задач обследования.

При

проектировании выборочного наблюдения предполагаются заранее заданной величина допустимой ошибки выборки в соответствии с задачами конкретного исследования и вероятность выводов по результатам наблюдения.

В целом формула предельной ошибки выборочной средней позволяет решать следующие задачи:

1) определять величину возможных отклонений показателей генеральной совокупности от показателей выборочной совокупности;

2) определять необходимую численность выборки, обеспечивающую требуемую точность, при которой пределы возможной ошибки не превысят некоторой, наперед заданной величины;

3) определять вероятность того, что в проведенной выборке ошибка будет иметь заданный предел.

4. Способы отбора и виды выборки

В теории выборочного метода разработаны различные способы отбора и виды выборки, обеспечивающие репрезентативность. Под способом отбора понимают порядок отбора единиц из генеральной совокупности. Различают два способа отбора: повторный и бесповторный. При повторном отборе каждая отобранная в случайном порядке единица после ее обследования возвращается в генеральную совокупность и при последующем отборе может снова попасть в выборку. Этот способ отбора построен по схеме «возвращенного шара». При таком способе отбора вероятность попасть в выборку для каждой единицы генеральной совокупности не меняется независимо от числа отбираемых единиц. При бесповторном отборе каждая единица, отобранная в случайном порядке, после ее обследования в генеральную совокупность не возвращается. Этот способ отбора построен по схеме «невозвращенного шара». Вероятность попасть в выборку для каждой единицы генеральной совокупности увеличивается по мере производства отбора.

В зависимости от методики формирования выборочной совокупности различают следующие основные виды выборки: собственно случайную, механическую, типическую (стратифицированную, районированную), серийную (гнездовую), комбинированную, многоступенчатую, многофазную, взаимопроникающую.

Собственно случайная выборка формируется в строгом соответствии с научными принципами и правилами случайного отбора. Для получения собственно-случайной выборки генеральная совокупность строго подразделяется на единицы отбора, и затем в случайном повторном или бесповторном порядке отбирается достаточное число единиц. Случайный порядок – это порядок, равносильный жеребьевке. На практике такой порядок лучшим образом обеспечивается при использовании специальных таблиц случайных чисел. Если, например, из совокупности, содержащей 1587 единиц, следует отобрать 40 единиц, то из таблицы отбирают 40 четырехзначных чисел, которые меньше 1587.

При бесповторном способе отбора расчета стандартной ошибки осуществляется с помощью формулы:

– доля единиц генеральной совокупности, не попавших в выборку.

Так как эта доля всегда меньше единицы, то ошибка при бесповторном отборе при прочих равных условиях всегда меньше, чем при повторном. Бесповторный отбор практически организовать всегда легче, чем повторный, и он применяется чаще.

Формировать выборку в строгом соответствии с правилами случайного отбора практически очень сложно, а иногда невозможно, так как при использовании таблиц случайных чисел необходимо пронумеровать все единицы генеральной совокупности. Довольно часто генеральная совокупность такая большая, что провести подобную предварительную работу чрезвычайно сложно и нецелесообразно. Поэтому на практике применяют другие виды выборок, каждая из которых не является строго случайной. Однако организуются они так, чтобы было обеспечено максимальное приближение к условиям случайного отбора.

При чисто механической выборке вся генеральная совокупность единиц должна быть прежде всего представлена в виде списка единиц отбора, составленного в каком-то нейтральном по отношению к изучаемому признаку порядке, например по алфавиту. Затем список единиц отбора разбивается на столько равных частей, сколько необходимо отобрать единиц. Далее по заранее установленному правилу, не связанному с вариацией исследуемого признака, из каждой части списка отбирается одна единица. Этот вид выборки не всегда может обеспечить случайный характер отбора, и полученная выборка может оказаться смещенной. Объясняется это тем, что, во-первых, упорядочение единиц генеральной совокупности может иметь элемент неслучайного характера. Во-вторых, отбор из каждой части генеральной совокупности при неправильном установлении начала отсчета может также привести к ошибке смещения. Однако практически легче организовать механическую выборку, чем собственно случайную, и при проведении выборочных обследований чаще всего пользуются этим видом выборки. Типическая (районированная, стратифицированная) выборка преследует две цели:

Поделиться с друзьями: