Чтение онлайн

ЖАНРЫ

Общая теория статистики: конспект лекции
Шрифт:

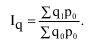
Аналогично обстоит дело и при построении сводных индексов качественных показателей. Пусть, например, нас интересует изменение общего уровня цен на различные проданные товары. Хотя формально цены разных товаров соизмеримы, однако непосредственное их суммирование,(без учета количества проданного товара каждого вида), дает величину, лишенную самостоятельного практического значения. Поэтому сводный индекс цен нельзя построить как отношение простых сумм:

Цены отдельных товаров не учитывают конкретного количества проданных товаров и их статистического веса и роли в процессе товарооборота.

Простые суммы цен отдельных товаров непригодны для построения сводного индекса также и потому, что цены зависят от единицы измерения товаров, изменение которых даст иные суммы и иную величину индекса.

Следовательно, при построении сводных индексов качественных показателей их нельзя рассматривать в отрыве от связанных с ними объемных показателей, в расчете на единицу которых вычислены эти качественные показатели. Только умножив тот или иной качественный показатель (p, z, t) на непосредственно связанный с ними объемный показатель (Q), можно учесть роль и статистический вес каждого вида продукции (или товара) в том или ином экономическом процессе – процессе образования общей стоимости (pQ), общей себестоимости (zQ), общих затрат рабочего времени (tQ) и т. п. Вместе с тем можно получить показатели, суммирование которых имеет практическую значимость.

Таким образом, первая особенность индексного метода и собственно индексов состоит в том, что индексируемый показатель рассматривается не изолированно, а во взаимосвязи с другими показателями.

Умножая индексируемый показатель на другой, связанный с ним, мы сводим различные явления к их единству, обеспечиваем их количественную сравнимость и учитываем их вес в реальном экономическом процессе. Поэтому показатели-сомножители, связанные с индексируемыми показателями, принято называть весами индексов, а умножение на них – взвешиванием.

Однако умножение значений индексируемого показателя на связанные с ними значения другого показателя (веса) еще не решает проблему собственно индекса. Умножив, например, цены на соответствующие им количества товаров, можно найти стоимость этих товаров в каждом периоде и тем самым можно решить проблему соизмерения и взвешивания. Однако сопоставление полученных сумм произведений (p1Q1 и poQo) дает показатель, который характеризует изменение товарооборота, зависящего от двух факторов – цен и количеств (объемов) товаров, но не дает характеристику изменения уровня цен и уровня производства товаров:

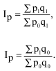
Для того чтобы индекс охарактеризовал изменение только одного фактора, нужно устранить в вышеуказанной формуле изменение другого фактора, зафиксировав его как в числителе, так и в знаменателе на уровне одного и того же периода. Например, для оценки объема разнородной продукции в двух сравниваемых периодах нужно оценить товары, проданные в обоих периодах, по одним и тем же, например базисным, ценам (р0). Полученный показатель отразит изменение только одного фактора – физического объема продукции Q:

А для оценки изменения уровня цен на группу товаров нужно сопоставлять одинаковые объемы этих товаров, т. е. количество товаров (Q) зафиксировать и в числителе, и в знаменателе индекса на одном и том же уровне (либо на базисном, либо на отчетном). Таким образом, построенные сводные индексы цен будут характеризовать только изменение цен, т. е. индексируемого показателя, так как изменение весов (Q) будет устранено (элиминировано) благодаря их фиксированию:

В

обоих случаях (Tq и Tp) индекс отразил изменение только одного фактора – индексируемого показателя – благодаря фиксированию другого (весов) на одном и том же уровне. Элиминирование влияния изменения весов путем их фиксирования в числителе и знаменателе индекса на одном и том же уровне – вторая особенность индексов и индексного метода.

Рассматривая проблемы, возникающие при построении собственно индексов, ставили задачу дать сравнительную характеристику уровней сложного явления, состоящего из разнородных элементов (разные виды продукции и т. п.). Так, Tp должен показать, как изменился в целом уровень цен, т. е. измерить динамику цен различных товаров в виде одного обобщающего показателя. Исторически собственно индексы появились как результат решения именно этой экономической задачи – задачи обобщения, синтеза динамики отдельных элементов сложного явления в одном обобщающем показателе – сводном индексе.

Однако собственно индексы используются для решения и другой задачи – анализа влияния изменения отдельных показателей-факторов на изменение показателя, представляющего функцию этих факторов-аргументов. Так, общая стоимость проданных товаров – это функция их цен (р) и количеств (объемов – Q). Поэтому можно поставить задачу измерить влияние каждого из этих факторов на изменение товарооборота: определить, как он изменился отдельно за счет изменения каждого фактора. Индексы, применяемые для решения подобных аналитических задач, также строятся с использованием специфических особенностей индексного метода – взвешивания и элиминирования изменения весов.

Таким образом, собственно индекс – это относительный показатель особого рода, в котором уровни социально-экономического явления рассматриваются в связи с другим (или другими) явлением, изменение которого при этом элиминируется. Показатели, связанные с индексируемым показателем, используются в качестве весов индекса, а взвешивание и элиминирование изменения весов (фиксирование в числителе и знаменателе индекса на одном и том же уровне) составляют специфику собственно индексов и индексного метода.

2. Агрегатные индексы качественных показателей

Каждый качественный показатель связан с тем или иным объемным показателем, в расчете на единицу измерения которого он исчисляется (или к единице измерения которого относится). Так, цена единицы товара связана с его количеством (Q); с объемом произведенной продукции связаны такие качественные показатели, как цена (р), себестоимость (z) и трудоемкость 

единицы продукции, а также удельный расход сырья, материалов

Сводные индексы качественных показателей должны характеризовать не их изменение вообще применительно к какому-либо произвольному набору товаров или продукции, а изменение цен, себестоимости, трудоемкости или удельных расходов вполне определенного количества произведенной продукции или проданных товаров. Это и достигается путем взвешивания – умножения уровней индексируемого качественного показателя на значение связанного с ним объемного показателя (веса) – и фиксирования весов в числителе и знаменателе индекса на одном и том же уровне. Сопоставление сумм таких произведений дает агрегатный индекс. Аналогично могут быть построены агрегатные индексы динамики себестоимости и трудоемкости единицы продукции, а также индекс удельного расхода сырья или материала.

Поделиться с друзьями: