Чтение онлайн

ЖАНРЫ

Общая теория статистики: конспект лекции
Шрифт:

Средняя геометрическая применяется, когда имеется n коэффициентов роста, при этом индивидуальные значения признака представляют собой, как правило, относительные величины динамики, построенные в виде цепных величин, как отношение к предыдущему уровню каждого уровня в ряду динамики. Средняя характеризует, таким образом, средний коэффициент роста. Средняя геометрическая простая рассчитывается по формуле:

Формула средней геометрической взвешенной имеет следующий вид:

Приведенные формулы идентичны, но одна применяется при текущих коэффициентах или темпах роста,

а вторая – при абсолютных значениях уровней ряда.

Средняя квадратическая применяется при расчете с величинами квадратных функций, используется для измерения степени колеблемости индивидуальных значений признака вокруг средней арифметической в рядах распределения и исчисляется по формуле:

Средняя квадратическая взвешенная рассчитывается по другой формуле:

Средняя кубическая применяется при расчете с величинами кубических функций и исчисляется по формуле:

а средняя кубическая взвешенная:

Все рассмотренные выше средние величины могут быть представлены в виде общей формулы:

где x– средняя величина;

х – индивидуальное значение;

n – число единиц изучаемой совокупности;

k – показатель степени, определяющий вид средней.

При использовании одних и тех же исходных данных, чем больше k в общей формуле степенной средней, тем больше средняя величина. Из этого следует, что между величинами степенных средних существует закономерное соотношение:

Средние величины, описанные выше, дают обобщенное представление об изучаемой совокупности, и с этой точки зрения их теоретическое, прикладное и познавательное значение бесспорно. Но бывает, что величина средней не совпадает ни с одним из реально существующих вариантов. Поэтому, кроме рассмотренных средних, в статистическом анализе целесообразно использовать величины конкретных вариантов, занимающие в упорядоченном (ранжированном) ряду значений признака вполне определенное положение. Среди таких величин наиболее употребительными являются структурные (или описательные) средние – мода (Мо) и медиана (Ме).

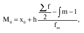
Мода – величина признака, которая чаще всего встречается в данной совокупности. Применительно к вариационному ряду модой является наиболее часто встречающееся значение ранжированного ряда, т. е. вариант, обладающий наибольшей частотой. Мода может применяться при определении магазинов, которые чаще посещаются, наиболее распространенной цены на какой-либо товар. Она показывает размер признака, свойственный значительной части совокупности, и определяется по формуле:

где х0 – нижняя граница интервала;

h– величина интервала;

fm– частота интервала;

fm1– частота предшествующего интервала;

fm+1– частота следующего интервала.

Медианой называется вариант, расположенный в центре ранжированного ряда. Медиана делит ряд на две равные части таким образом, что по обе стороны от нее находится одинаковое количество единиц совокупности. При этом у одной половины единиц совокупности значение варьирующего признака меньше медианы, у другой – больше ее. Медиана используется при изучении элемента, значение которого больше или равно или одновременно меньше или равно половине элементов ряда распределения.

Медиана дает общее представление о том, где сосредоточены значения признака, иными словами, где находится их центр.

Описательный характер медианы проявляется в том, что она характеризует количественную границу значений варьирующего признака, которыми обладает половина единиц совокупности. Задача нахождения медианы для дискретного вариационного ряда решается просто. Если всем единицам ряда придать порядковые номера, то порядковый номер медианного варианта определяется как (n+1) /2с нечетным числом членов п. Если же количество членов ряда является четным числом, то медианой будет являться среднее значение двух вариантов, имеющих порядковые номера n / 2 и n / 2 + 1.

При определении медианы в интервальных вариационных рядах сначала определяется интервал, в котором она находится (медианный интервал). Этот интервал характерен тем, что его накопленная сумма частот равна или превышает полусумму всех частот ряда. Расчет медианы интервального вариационного ряда производится по формуле:

где х0 – нижняя граница интервала;

h– величина интервала;

fm– частота интервала;

f– число членов ряда;

 m -1 – сумма накопленных членов ряда, предшествующих данному.

Наряду с медианой для более полной характеристики структуры изучаемой совокупности применяют и другие значения вариантов, занимающих в ранжированном ряду вполне определенное положение. К ним относятся квартили и децили. Квартили делят ряд по сумме частот на четыре равные части, а децили – на десять равных частей. Квартилей насчитывается три, а децилей – девять.

Медиана и мода в отличие от средней арифметической не погашают индивидуальных различий в значениях варьирующего признака и поэтому являются дополнительными и очень важными характеристиками статистической совокупности. На практике они часто используются вместо средней либо наряду с ней. Особенно целесообразно вычислять медиану и моду в тех случаях, когда изучаемая совокупность содержит некоторое количество единиц с очень большим или очень малым значением варьирующего признака. Эти не очень характерные для совокупности значения вариантов, влияя на величину средней арифметической, не влияют на значения медианы и моды, что делает последние очень ценными для экономико-статистического анализа показателями.

3. Показатели вариации

Целью статистического исследования является выявление основных свойств и закономерностей изучаемой статистической совокупности. В процессе сводной обработки данных статистического наблюдения строят ряды распределения. Различают два типа рядов распределения – атрибутивные и вариационные – в зависимости от того, является ли признак, взятый за основу группировки, качественным или количественным.

Вариационными называют ряды распределения, построенные по количественному признаку. Значения количественных признаков у отдельных единиц совокупности непостоянны, более или менее различаются между собой. Такое различие в величине признака носит название вариации. Отдельные числовые значения признака, встречающиеся в изучаемой совокупности, называют вариантами значений. Наличие вариации у отдельных единиц совокупности обусловлено влиянием большого числа факторов на формирование уровня признака. Изучение характера и степени вариации признаков у отдельных единиц совокупности является важнейшим вопросом всякого статистического исследования. Для описания меры изменчивости признаков используют показатели вариации.

Другой важной задачей статистического исследования является определение роли отдельных факторов или их групп в вариации тех или иных признаков совокупности. Для решения такой задачи в статистике применяются специальные методы исследования вариации, основанные на использовании системы показателей, с помощью которых измеряется вариация. В практике исследователь сталкивается с достаточно большим количеством вариантов значений признака, что не дает представления о распределении единиц по величине признака в совокупности. Для этого проводят расположение всех вариантов значений признака в возрастающем или убывающем порядке. Этот процесс называют ранжированием ряда. Ранжированный ряд сразу дает общее представление о значениях, которые принимает признак в совокупности.

Поделиться с друзьями: