Чтение онлайн

ЖАНРЫ

Простая одержимость. Бернхард Риман и величайшая нерешенная проблема в математике.
Шрифт:

Глава 9. Расширение области определения

I.

Итак, мы начинаем приближаться к Гипотезе Римана. Просто чтобы освежить память, сформулируем ее еще раз:

Гипотеза Римана

Все нетривиальные нули дзета-функции имеют вещественную часть, равную одной второй.

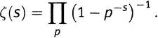
И мы уже знаем, что такое дзета-функция! Если s— некоторое число, большее единицы, то дзета-функция определяется таким выражением (9.1):

или же, несколько более изысканным образом,

где слагаемые бесконечного ряда отвечают всем положительным целым числам. Мы видели, что если к этой сумме применить процедуру, напоминающую решето Эратосфена, то ее можно переписать как

то есть

где

множители в бесконечном произведении отвечают всем простым числам.

Таким образом, получаем

что я и назвал Золотым Ключом.

Пока все прекрасно, но что это там говорилось насчет нетривиальных нулей? Что такое нуль функции? Что представляют собой нули дзета-функции? И когда они нетривиальны? Не переживайте, сейчас все будет!

II.

Позабудем на время о дзета-функции. Рассмотрим бесконечную сумму совсем другого типа:

S(x) =1 + x+ x 2+ x 3+ x 4+ x 5+ x 6 + ….

Сходится ли она вообще когда-нибудь? Без сомнения. Если xравно 1/ 2,то сумма представляет собой просто-напросто выражение 1.1 из главы 1.iv, поскольку ( 1/ 2) 2= 1/ 4, ( 1/ 2) 3= 1/ 8и т.д. Следовательно, S( 1/ 2) = 2, потому что именно к этому значению ряд и сходится. Более того, если вспомнить правило знаков, то (- 1/ 2) 2= 1/ 4, (- 1/ 2) 3= - 1/ 8и т.д., а следовательно, S(- 1/ 2) = 2/ 3согласно выражению 1.2 из главы 1.v. Аналогичным образом выражение 1.3 говорит нам, что S( 1/ 3) = 1 1/ 2выражение 1.4 — что S(- 1/ 3) = 1 3/ 4. Легко получить и еще одно значение для этой функции: S(0) = 1, поскольку нуль в квадрате, кубе и т.д. все равно равен нулю, и остается только единица, с которой ряд начинается.

Однако если xравен 1, то S(1) есть 1 + 1 + 1 + 1 + …, а этот ряд расходится. При xравном 2 расходимость еще более явная: 1 + 2 + 4 + 8 + 16 + …. Когда xравен -1, происходит странная вещь: по правилу знаков сумма принимает вид 1 - 1 + 1 - 1 + 1 - 1 + …. Такая сумма равна нулю, если взять четное число членов, и единице, если нечетное. Данное выражение определенно не убегает на бесконечность, но оно и не сходится. Математики рассматривают такое поведение как некоторый вид расходимости. Ситуация с x= -2 еще хуже: сумма 1 - 2 + 4 - 8 + 16 - … ведет себя так, словно убегает на бесконечность сразу по двум направлениям. Такая ситуация определенно далека от сходимости, и если вы скажете, что здесь налицо расходимость, то никто с вами спорить не будет.

Короче говоря, функция S(x)имеет значения, только когда xлежит в границах между -1 и 1, не включая сами границы. В других случаях у нее значений нет. В таблице 9.1 приведены значения функции S(x)для аргументов xмежду -1 и 1.

x S(x)
– 1 или меньше (нет значений)
– 0,5 0,6666…
– 0,333… 0,75
0 1
0,333… 1,5
0,5 2
1 или больше (нет значений)

Таблица 9.1.Значения функции S(x) =1 + x+ x 2+ x 3+ ….

Вот и все, что можно извлечь из бесконечной суммы. График этой функции показан на рисунке 9.1; на этом графике у функции

нет вообще никаких значений к западу от -1 и к востоку от 1. Используя профессиональную терминологию, можно сказать, что область определенияэтой функции заключена строго между -1 и 1.

Рисунок 9.1.Функция S(x) =1 + x+ x 2+ x 3+ ….

III.

Но смотрите, нашу сумму

S(x) =1 + x+ x 2+ x 3+ x 4+ x 5+ …

можно переписать в таком виде:

S(x)= 1 + x(1 + x+ x 2+ x 3+ x 4+ …).

Ряд в скобках здесь равен просто S(x): каждый член, встречающийся в одном, встречается также и в другом из двух выписанных выше рядов, а это и означает, что они совпадают.

Другими словами, S(x)= 1 + xS(x). Перенося самый правый член в левую часть, получаем равенство S(x) - xS(x) =1, или, другими словами, (1 - x) S(x) =1. Следовательно, S(x) =1/(1 - x). Возможно ли, чтобы за нашей бесконечной суммой скрывалась столь простая функция, как 1/(1 - x)? Может ли равенство

1/(1 - x) = 1 + x+ x 2+ x 3+ x 4+ x 5+ x 6+ … (9.2)

оказаться верным?

Без сомнения, может. Если, например, x= 1/ 2, то 1/(1 - x) равняется 1/(1 - 1/ 2), что есть 2. Если x= 0, то 1/(1 - x) равно 1/(1 - 0), что есть 1. Если x= - 1/ 2, то 1/(1 - x) равняется 1/(1 - (- 1/ 2)), т.е. 1:1 1/ 2что есть 2/ 3. Если x= 1/ 3, то 1/(1 - x) равняется 1/(1 - 1/ 3) т.е. 1: 2/ 3, что есть 1 1/ 2. Если x= - 1/ 3, то 1/(1 - x) равняется 1/(1 - (- 1/ 3)), т.е. 1:1 1/ 3, что есть 3/ 4. Все сходится. Для аргументов - 1/ 2, - 1/ 3, 0, 1/ 3, 1/ 2, при которых мы знаем значения функции, значения бесконечного ряда S(x)такие же, как и значения функции 1/(1 - x). Похоже, что этот ряд и эта функция — одно и то же.

Рисунок 9.2.Функция 1/(1 - x).

Но они не одно и то же, поскольку у них различные области определения, как это видно из рисунков 9.1 и 9.2 . S(x)имеет значения только между -1 и 1, не включая границы; функция же 1/(1 - x) имеет значения везде, за исключением точки x = 1. Если x = 2, то ее значение равно 1/(1 - 2), то есть -1. Если x = 10, то значение равно 1/(1 - 10), то есть - 1/ 9. Если x = -2, то значение равно 1/(1 - (-2)), то есть 1/ 3. Можно нарисовать график функции 1/(1 - x). Как видно, он совпадает с предыдущим графиком в промежутке между -1 и 1, но имеет еще и значения к западу от -1 (включая саму -1) и к востоку от 1.

Поделиться с друзьями: